学院邮箱(书记院长):[email protected]
纪委邮箱(师德师风):[email protected]
色漫网公告
当前您的位置: 色漫网 - 色漫网公告 - 正文
2024-04-26
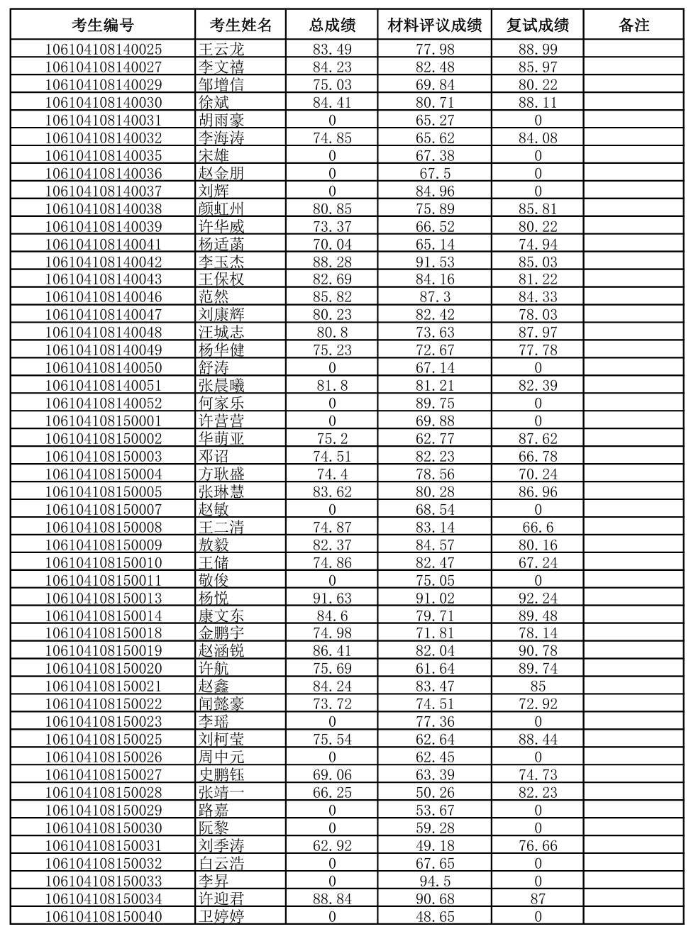
上一条:色漫网 /山区河流保护与治理全国重点实验室2024年博士研究生招生拟录取名单公示
下一条:关于评选2024年度贾金生博士科技创新奖的通知